Najít délku osy provedené z pravého úhlu k přeponě:

L – osa, úsečka ME, vycházející z pravého úhlu (90 stupňů)
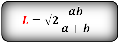
a, b – odvěsny pravoúhlého trojúhelníku
c – přepona
α – úhel přilehlý k přeponě
Vzorec délky osy přes odvěsny, (L):
Vzorec délky osy přes přeponu a úhel, (L):
Najít délku osy z ostrého úhlu k odvěsně:

L – osa, úsečka ME, vycházející z ostrého úhlu
a, b – odvěsny pravoúhlého trojúhelníku
c – přepona
α, β – úhly přilehlé k přeponě
Vzorce délky osy přes odvěsnu a úhel, (L):
Vzorec délky osy přes odvěsnu a přeponu, (L):