Výška trojúhelníku je kolmice spuštěná z vrcholu na protější stranu.
Výšky trojúhelníku se protínají v jednom bodě, který se nazývá ortocentrum.

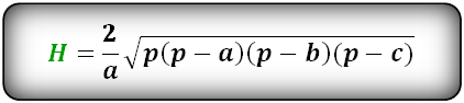
H - výška trojúhelníku
a - strana, základna
b, c – strany
β, γ – úhly na základně
p - poloviční obvod, p=(a+b+c)/2
R - poloměr opsané kružnice
S - obsah trojúhelníku
Vzorec délky výšky přes strany, (H):
Vzorec délky výšky přes stranu a úhel, (H):
Vzorec délky výšky přes stranu a obsah, (H):
Vzorec délky výšky přes strany a poloměr, (H):